Introdotto per fare cassa (poca) nel 2011, il superticket* potrebbe essere soppresso nella prossima legge di bilancio. Oggi ha vari difetti. Disincentiva l’uso del Ssn. Se applicato, la sua entità è diversa tra regioni. Ed è percepito come una tassa, e non come una partecipazione alla spesa sanitaria.
Superticket, abolirlo fa bene alla salute
Il superticket* ha cambiato la natura di uno strumento pensato invece per responsabilizzare i cittadini sui costi del servizio sanitario. Per questo dovrebbe essere cancellato, ripensando nello stesso tempo l’intero sistema delle compartecipazioni.
La proposta di abolire il superticket
Con l’approvazione della Nota di aggiornamento al Documento di economia e finanza da parte del parlamento si sono aperti i giochi sulla manovra di bilancio. Molte le osservazioni critiche sulla mancanza di novità incoraggianti sul fronte della sanità. Ma la traiettoria della spesa disegnata nella Nota è a legislazione vigente, poco informativa quindi sulle reali intenzioni del governo di incidere sulle politiche per la salute.
Al di là degli ovvi strepiti per richiedere un aumento del finanziamento programmato (114 miliardi nel 2018, +1 sul 2017), un assaggio delle discussioni infinite che ci aspettano – e che non porteranno da nessuna parte – sul miliardo in più o in meno al Ssn, qualche suggerimento più preciso per il governo comincia ad arrivare. E non a caso perché si riprende uno dei temi del Patto per la salute 2014-2016 che – all’articolo 8 – prevedeva la revisione dell’intera disciplina che regola il ticket. È di Mdp la proposta di abolire il “superticket”, un balzello introdotto nel 2011 in somma fissa (10 euro) che ogni cittadino (non esente) deve pagare per poter ottenere una prestazione specialistica a carico della sanità pubblica.
Il governo dovrebbe cogliere la palla al balzo e fare giustizia di una stupidaggine del passato, introdotta in piena emergenza finanziaria con l’unico obiettivo di raccattare soldi (dopo che nel 2007 fu prima introdotto poi immediatamente cancellato).
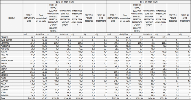
Perché dovremmo abolire il “superticket”? Gli argomenti che circolano sono almeno due. C’è chi dice che sia un disincentivo per il servizio pubblico e una spinta verso il privato. E pare indubbio: se si aumenta il prezzo del servizio pubblico, aumentano le probabilità che il cittadino si rivolga al privato (o chieda il servizio in intramoenia) che in molti casi costa addirittura di meno. C’è chi sottolinea invece le differenze tra regioni nel recepimento del “superticket”, con alcune che hanno deciso di non fare nulla, altre che l’hanno applicato così com’è, altre che lo modulano in base al costo della prestazione o in base al reddito, generando disparità nell’accesso ai servizi tra territori (vedi le differenze nei valori pro-capite tra regioni nella tabella 1) e tra cittadini in ciascuna regione. Sugli aspetti distributivi sarebbe utile qualche analisi in più; anche perché il “superticket” è detraibile al 19 per cento con le spese sanitarie (un nonsense) e non tutti quelli che lo pagano poi fruiscono della detrazione.
La logica della responsabilità
Entrambi gli argomenti però mi pare non colgano il danno principale prodotto dal “superticket”, che ha cambiato la natura del ticket, facendolo percepire ai cittadini come l’ennesima imposta da pagare. Per un gettito relativamente misero: la stima più veritiera si aggira intorno ai 500-600 milioni di euro (inclusi negli 1,3 miliardi della specialistica) sui 3 miliardi complessivi delle compartecipazioni (tabella 1) e i 113 miliardi di spesa corrente.
Tabella 1 – Proventi per le compartecipazioni alla spesa


Fonte: Rapporto 2017 sul coordinamento della finanza pubblica, Corte dei conti
La stortura è evidente soprattutto per le prestazioni a bassa complessità e basso costo: con il “superticket” il prezzo al pubblico è superiore al costo di produzione. Una follia nella logica della responsabilizzazione, cioè di far percepire ai cittadini che i servizi gratuiti per chi li consuma non sono a costo zero per chi li produce.
Qui sta il danno del “superticket”: non si può chiedere a un cittadino di coprire più del costo, sennò dalla compartecipazione si passa all’imposta. Abolire il “superticket” consentirebbe di tornare a dire ai cittadini che con il ticket stanno solo partecipando a coprire i costi di produzione di un servizio offerto dal pubblico in una logica di responsabilizzazione. Che il ticket serve, come mostra la letteratura empirica, a ricercare una maggiore appropriatezza della spesa; non a fare cassa.
L’abolizione del “superticket” non è una novità: regioni e governo hanno già cominciato nei mesi scorsi a discuterne, quindi non arrivano impreparati al confronto. Inutile dire che tutto il problema è come coprire i mancati introiti (a rigore, al netto delle spese fiscali).
Nelle discussioni della Conferenza stato-regioni qualcuno ha già pensato per esempio di sostituire il “superticket” con un ulteriore ticket sui codici verdi al pronto soccorso. È vero che il pronto soccorso viene usato male, ma in tema di appropriatezza ci sono altri indicatori più consolidati: per esempio, perché non un ticket sui cesarei per gravidanze normali? In ogni caso, così non si farebbe nessun passo avanti verso un miglioramento dell’intero sistema delle compartecipazioni: c’è un problema di esenzioni, soggette a pressioni lobbistiche e alla difficoltà di misurare reddito e patrimonio dei singoli; c’è un problema di comportamento dei medici, che prescrivono senza dover sopportare alcun costo per le proprie scelte. Purtroppo, come per le spese fiscali, il problema è politicamente spinoso: se ne discute da anni ma poi non se ne fa mai nulla, per gli ovvi aspetti redistributivi. E fra un po’ si vota.
*Cosa sono e come funzionano i superticket?
Per superticket si intende il balzello introdotto nel 2011 che prevede il pagamento di 10 euro di ticket su ogni ricetta per le prestazioni di diagnostica e specialistica. Ogni regione può decidere se e come applicarlo e la sua introduzione ha scatenato forti polemiche da parte di alcune regioni che hanno scelto di adottarlo in modo differente. Alcune hanno deciso di modularlo in base al reddito o al tipo di servizio, mentre altre, come la Valle d’Aosta hanno preferito non adottarlo affatto.
Il superticket non si paga in Sardegna, Valle d’Aosta, nella provincia di Trento e Bolzano e in Basilicata. Viene invece applicato il superticket di 10 euro per ogni ricetta medica che abbia un valore superiore ai 10 euro nel Lazio, nel Friuli Venezia Giulia, in Liguria, Marche, Molise, Abruzzo, Puglia, Sicilia e Calabria. In Campania, Piemonte e Lombardia il superticket viene applicato in maniera progressiva all’aumentare del valore della ricetta mentre viene modulato in base al reddito in Veneto, Emilia Romagna, Umbria e Toscana.
vivicentro.it/salute e scienze
redazione vivicentro/adnkronos/lavoce.info
vivicentro/Sanità: il superticket potrebbe essere soppresso nella prossima legge di bilancio
lavoce.info/Superticket, abolirlo fa bene alla salute – Gilberto Turati






Lascia un commento